并查集
题记
今天上了数理统计和数学模型与优化,感觉终于上到了我认为的好课。第一眼看到数学模型与优化的董文永老师感觉自带气场,带着帽子上课,不过讲课还是挺幽默的。非常想吐槽一下教室的设备,两个教室的麦克风完全没声音,幸好坐在前排,要是抢不到位置估计很难听到吧(或者是我带耳机久了,听力下降了吗)。
上数学模型与优化的时候,有道题还是没弄清楚,所以这里来解决一下。这道题的解法不止一种,课上老师介绍的方法是并查集。
NOIP 2015 信息传递
点击展开题目详情

以下的所有说明围绕样例进行说明。

当从别人那里得知自己的生日,实质上就是形成了一个环。所以这道题实际上是:
找到所构建的图中的最小环的长度。
找最小环的过程,这里我们用并查集的方法。即把每个同学都看成点,A同学将信息传给B同学,就相当于在A和B之间建立了一条有向条边,将其加入并查集中,当遇到两个点的祖先节点相同时,则说明他们已经在同一个集合,那么就能构成环,此时判断一下环的长度即可。
Step 0. 初始化
初始化的状态可以表示成下图所示,此时我们把每个节点看成一棵只有一个节点的树,那么每棵树的根自然就是唯一的那个节点。

代码来表示上图,创建两个数组a和b,其中a中每个元素表示每棵树的根节点,b来存放传递信息的方向。
为了方便起见,这里的index 0设置为空。
| index | 1 | 2 | 3 | 4 | 5 |
|---|---|---|---|---|---|
| a | 1 | 2 | 3 | 4 | 5 |
| b | 2 | 4 | 2 | 3 | 1 |
从左到右开始同时扫描一遍两个数组(即一个for循环)。
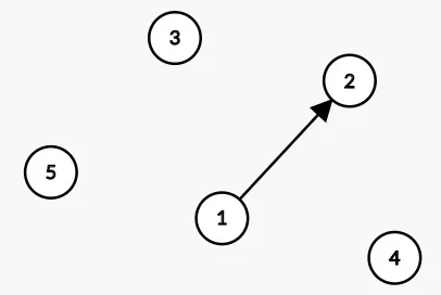
Step 1. 扫描1
当扫描到1时,发现1传递信息给2(即b[1]值为2),可以用以下的有向图表示。
此时1和2连在了一起,从两棵树合并成了一棵树,树的根我们定义成所指向的那个节点(需要注意, 并查集是孩子节点指向父节点,这点与一般的树相反)。

我们首先判断是否构成了环:
- 查看1所指向的节点, 即b[1] = 2
- 查看2的父节点, 即a[2] = 2, 因为此时2的父节点就是它自己,所以停止搜索。此刻认定1所指向的节点的根是2
- 判断1是不是1所指向的节点的根,即1是否等于2
- 此时不相等,所以没有构成环。没有构成环则更新1的根,即更新a[1]的值为2。
| index | 1 | 2 | 3 | 4 | 5 |
|---|---|---|---|---|---|
| a | 2 | 2 | 3 | 4 | 5 |
| b | 2 | 4 | 2 | 3 | 1 |
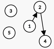
Step 2. 扫描2
当扫描到2时,发现2传递信息给4(即b[2]值为4),可以用以下的有向图表示。

| index | 1 | 2 | 3 | 4 | 5 |
|---|---|---|---|---|---|
| a | 2 | 4 | 3 | 4 | 5 |
| b | 2 | 4 | 2 | 3 | 1 |
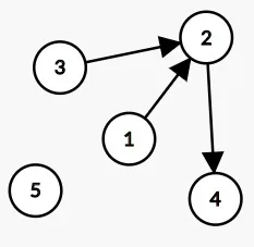
Step 3. 扫描3

| index | 1 | 2 | 3 | 4 | 5 |
|---|---|---|---|---|---|
| a | 2 | 4 | 2 | 4 | 5 |
| b | 2 | 4 | 2 | 3 | 1 |
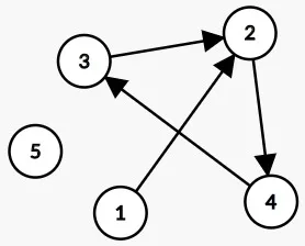
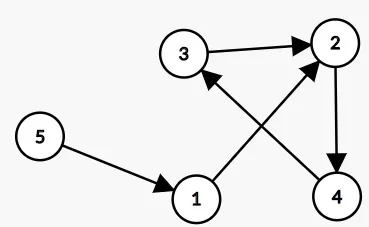
Step 4. 扫描4

| index | 1 | 2 | 3 | 4 | 5 |
|---|---|---|---|---|---|
| a | 2 | 4 | 2 | 4 | 5 |
| b | 2 | 4 | 2 | 3 | 1 |
从图上我们可以发现出现了一个环,代码上是如何发现的呢:
- 查看4所指向的节点, 即b[4] = 3
- 查看3的父节点, 即a[3] = 2
- 查看2的父节点, 即a[2] = 4
- 查看4的父节点, 即a[4] = 4, 因为此时4的父节点就是它自己,所以停止搜索。此刻4所指向的节点的根是4
- 判断4是不是 4所指向的节点 的根,即4是否等于4
- 如果相同则认为构成了环。此时构成了环,为了避免循环,则不更新a[4]
Step 5. 扫描5

| index | 1 | 2 | 3 | 4 | 5 |
|---|---|---|---|---|---|
| a | 2 | 4 | 2 | 4 | 1 |
| b | 2 | 4 | 2 | 3 | 1 |
|
|
参考资料
Graph Editor https://csacademy.com/app/graph_editor/ (画图论相关的图片非常好用)
P2661 信息传递 题解 https://www.luogu.org/problemnew/solution/P2661 (提供这道题的C代码)题解 P2661 【信息传递】https://duoluoluo.blog.luogu.org/solution-p2661 (提供这道题的C代码)